
Постановлением Госстандарта России от 13 февраля 2002 г., N 61-ст
1 Область применения
Настоящий стандарт устанавливает общие технические требования к услугам по уборке (внутри и снаружи) зданий и сооружений, прилегающей территории (далее - услугам по уборке), по уходу за оргтехникой, компьютерами, мебелью, полами, деталями отделки внутренних и наружных поверхностей зданий, сооружений (далее - услугам по уходу), а также требования безопасности услуг для жизни и здоровья потребителей, сохранности их имущества и охраны окружающей среды.
Настоящий стандарт распространяется на организации и индивидуальных предпринимателей (далее - исполнителей), оказывающих услуги по уборке.
Настоящий стандарт является основополагающим при разработке нормативных документов на конкретные виды услуг по уходу и уборке.
2 Нормативные ссылки
В настоящем стандарте использованы ссылки на следующие стандарты.
ГОСТ 9.072-77 Единая система защиты от коррозии и старения. Покрытия лакокрасочные. Термины и определения
ГОСТ 12.1.004-91 Система стандартов безопасности труда. Пожарная безопасность. Общие требования
ГОСТ 12.4.059-89 Система стандартов безопасности труда. Строительство. Ограждения предохранительные инвентарные. Общие технические условия
ГОСТ 4103-82 Изделия швейные. Методы контроля качества
ГОСТ 16143-81 Детали и изделия из древесины и древесных материалов. Метод определения блеска прозрачных лаковых покрытий
ГОСТ 16588-91 (ИСО 4470-81) Пилопродукция и деревянные детали. Методы определения влажности
ГОСТ 23216-78 Изделия электротехнические. Общие требования к хранению, транспортированию, временной противокоррозионной защите и упаковке
ГОСТ 24455-80 Средства для ухода за полами. Метод определения водостойкости эмульсионной мастики
ГОСТ 27570.0-87 (МЭК 335-1-76) Безопасность бытовых и аналогичных электрических приборов. Общие требования и методы испытаний
ГОСТ 29149-91 (МЭК 73-84) Цвета световой сигнализации и кнопок
3 Определения
В настоящем стандарте применяют следующие термины с соответствующими определениями:
3.1 услуги по уборке: Операции, проводимые с целью сохранения эксплуатационных свойств и поддержания в чистом состоянии поверхностей, различающихся по виду, назначению и материалам, из которых они изготовлены, в зависимости от степени их загрязнения.
3.2 услуги по уходу: Мероприятия по восстановлению внешнего вида и эксплуатационных свойств поверхностей, связанные с защитой поверхности от старения или предохранением от повреждений.
3.3 прочие услуги: Услуги, не связанные непосредственно с уборкой и уходом (обработка помещений от вредных насекомых и грызунов, работы по озеленению территорий, ландшафтная архитектура).
3.4 технологическое оборудование: Оборудование, с помощью которого производится комплекс процессов по уборке и уходу.
3.5 химические средства и уборочный инвентарь: Товары химического, текстильного, щетинно-щеточного, целлюлозно-бумажного и других производств, а также изделия из металлов, используемые в технологическом процессе оказания услуг по уборке и уходу.
4 Классификация услуг
4.1 Услуги по уборке и уходу классифицируют по следующим признакам:
- технологическому;
- виду убираемых объектов;
- периодичности выполнения услуг.
4.2 По технологическому признаку услуги по уборке и уходу подразделяют следующим образом:
- сохранение эксплуатационных свойств и внешнего вида поверхностей, предметов, помещений, зданий и сооружений (внутри и снаружи), территорий (подметание и уборка мусора, протирка поверхностей и предметов, вакуумная обработка, влажная уборка, выведение пятен, дезинфекция, работы по уборке дорожек, тротуаров, мусора, снега);
- восстановление эксплуатационных свойств и внешнего вида, защита от старения поверхностей, предметов, помещений, зданий и сооружений внутри и снаружи (полирование, химическая очистка, грунтование, лакирование, чистка, шлифование, кристаллизация, консервация);
- прочие услуги (дезинсекция, дератизация помещений, озеленение и т.д.).
4.3 По виду убираемых объектов услуги подразделяют следующим образом:
- жилые объекты (внутри и снаружи);
- промышленные, культурные и общественные объекты (внутри и снаружи);
- прилегающие территории.
4.4 По периодичности услуги подразделяют следующим образом:
- первоначальная комплексная уборка;
- ежедневная комплексная уборка и уход;
- еженедельная комплексная уборка и уход;
- генеральная уборка и уход.
5 Общие технические требования
5.1 Услуги по уборке и уходу должны соответствовать требованиям настоящего стандарта, а также действующим технологическим документам на услуги конкретного вида.
5.2 Прием и оформление заказа на услуги по уборке и уходу должны производиться на основании спецификации, составленной на выполнение одной или нескольких уборочные операций или операций по уходу в соответствии с требованиями потребителя услуги.
5.3 Для оказания выполнения услуг по уборке обязательными условиями являются:
- профессиональный уровень мастерства исполнителя и знание им требований безопасности, правил обслуживания и санитарных норм;
- наличие технологического оборудования, уборочного инвентаря, химических средств;
- наличие нормативных и технологических документов на оказываемые услуги по уборке.
5.4 Перечень мероприятий по уборке и уходу, проводимых на поверхностях зданий и сооружений и прилегающей территории, приведен в таблице 5.1.
Таблица 5.1 - Перечень мероприятий по уборке и уходу
|
Мероприятия по уборке и уходу за поверхностями
|
||
|
внутри зданий, сооружений |
снаружи зданий, сооружений |
на прилегающей территории |
|
1 Первоначальная комплексная уборка
|
|
|
|
Удаление пыли с полов, плинтусов, стен, потолков, рам, электрической арматуры, радиаторов или декоративных экранов радиаторов. Мойка окон, сантехники, оборудования
|
Мойка дверных блоков, окон, стеклянных стен на любой высоте, фасадов
|
Влажная уборка территории, озеленение и т.д.
|
|
2 Ежедневная комплексная уборка и уход
|
|
|
|
Протирка пыли с крышек столов, полок, шкафов, тумбочек, ручек дверей, подоконников и прочих поверхностей высотой не более 2 м. Чистка зеркал и стеклянных поверхностей (кроме окон).
Уборка дверных блоков, лестничных пролетов и площадок.
|
Уборка дверных блоков, лестниц, протирка стеклянных поверхностей, вывесок, витрин, указателей |
Подметание мусора, листвы, вынос мусора и вставка полиэтиленовых пакетов в урны.
Влажная уборка территории |
|
Удаление пыли с розеток, удлинителей, с оргтехники, компьютеров.
|
|
|
|
Вынос мусора из мусорных корзинок, бумагоуничтожительных машин, замена полиэтиленовых пакетов в мусорных корзинах, чистка пепельниц и их протирка.
|
|
|
|
Удаление пыли с подлокотников и крестовин стульев.
Уборка полов, мягких, твердых, полутвердых (вакуумная обработка, подметание, мойка).
|
|
|
|
Удаление пыли с плинтусов, удаление пятен и липких субстанций (жевательной резинки, пластилина и т.п.) с полов, ковров, ковровых покрытий, мягкой мебели.
|
|
|
|
Протирка батарей, радиаторов.
|
|
|
|
Чистка и дезинфекция кафельной стенки высотой не более 1 м, унитазов, раковин, биде, писсуаров (включая удаление ржавчины, мочевого, водного и известкового камня), дезодорация, мойка торгового и механического оборудования (весы, прилавки, витрины, фасовочные агрегаты)
|
|
|
|
3 Еженедельная комплексная уборка
|
|
|
|
То же, что и в пункте 2.
|
То же, что и в пункте 2
|
То же, что и в пункте 2.
|
|
Уход и уборка всех поверхностей высотой не более 3 м.
|
|
Уборка скамеек, беседок, детских и спортивных площадок |
|
Натирка полиролью мебели и элементов интерьера из цветных металлов.
|
|
|
|
Удаление пыли с рам, не включая стекла, удаление пятен с тканевых перегородок.
|
|
|
|
Вакуумная обработка тканевых перегородок, мягкой мебели.
|
|
|
|
Удаление пыли с декоративных экранов радиаторов, с искусственных растений, с элементов декоративного оформления.
|
|
|
|
Мойка и дезинфекция мусорных корзин.
|
|
|
|
Дезинфекция помещения высотой не более 3 м, дезинфекция и дезодорация сливных отверстий.
|
|
|
|
Полировка стен из кафеля и др.
|
|
|
|
4 Генеральная уборка и уход
|
|
|
|
То же, что в пунктах 2, 3.
|
То же, что и в пунктах 2, 3.
|
То же, что и в пунктах 2, 3.
|
|
Чистка стекол настенных и потолочных светильников снаружи и внутри при высоте не более 3 м.
|
Мойка окон, стеклянных стен на любой высоте снаружи и изнутри.
|
Протирка ограждений и выездных ворот, козырьков и навесов. |
|
Удаление пыли с решеток приточно-вытяжной вентиляции на потолках и стенах.
|
Мойка крыш, фасадов, лепнины, скульптуры, поверхностей со сложным микрорельефом. |
Чистка сливных и канализационных решеток, труб и желобов
|
|
Чистка компьютеров, оргтехники, бытовой радиоэлектронной аппаратуры, жалюзи, мягкой мебели, салонов автомашин, ковров и ковровых покрытий.
|
|
|
|
Мойка окон с четырех сторон.
|
Удаление высолов с кирпича, нанесение защитных покрытий для фасадов. |
|
|
Уход за полами (нанесение мастик, лаков, консервация, кристаллизация, защитных составов).
|
|
|
|
Чистка и дезинфекция кухонного оборудования (плит, холодильников, посудомоечных машин, микроволновых печей и др.), торгового и механического оборудования
|
Очистка алюминиевых переплетов, латунных табличек
|
|
|
Примечание - В зимний период проводят следующие дополнительные работы:
|
||
|
при первоначальной комплексной уборке - чистку проходных зон;
|
||
|
при ежедневной комплексной уборке - сбор мусора, снега, обработку проходных зон антискользящими средствами;
|
||
|
при еженедельной комплексной уборке - очистку кровель от снега и льда, сосулек, скалывание наледи с проходных зон;
|
||
|
при генеральной уборке и уходе - мойку окон, стеклянных стен на любой высоте, утепление окон, замену уплотнителя.
|
||
5.5 Химические средства, (моющие, полирующие, пятновыводные, дезинфицирующие, шампуни, антистатики, мастики, грунтовки, лаки, защитные составы), применяемые при оказании услуг по уборке, а также уборочный инвентарь (уборочные тележки, протирочный материал, швабры, щетки, губки) должны использоваться в соответствии с требованиями инструкций фирм-изготовителей.
5.6. Уборочный инвентарь после использования следует промывать горячей проточной водой с моющими средствами. Не допускается многоразовое использование текстильных материалов, применяемых при уборке промышленных помещений.
5.6.1 Уборочный инвентарь должен быть кодирован различными цветами, сигнальной маркировкой, надписью или другим способом для исключения использования одного и того же уборочного инвентаря в разных помещениях и ограничения распространения бактерий.
5.7 Удаление грязи с различных поверхностей следует осуществлять с применением соответствующего способа уборки. Не допускается оставлять грязь на ступеньках, краях, в углах и других труднодоступных местах.
5.8 При уборке помещений с применением химических средств следует защищать поверхности и окружающие предметы, не подлежащие уборке.
5.9 При проведении влажной уборки твердых и полутвердых полов для снижения опасности травматизма запрещается использовать мыло и порошкообразные синтетические моющие средства.
5.10 При выполнении уборочных операций по мойке окон и операций по уходу за зеркалами и прочими зеркальными поверхностями запрещается использовать порошкообразные синтетические моющие средства и абразивные очистители. Тонированные, дымчатые и зеркальные поверхности чистят согласно инструкции предприятия-изготовителя.
5.11 Полы (кроме паркета) необходимо подвергать очистке перед кристаллизацией, грунтованием, лакированием, нанесением мастик, используя химические средства с сильной проникающей способностью и растворяющим эффектом. После химической очистки не допускается проводить дальнейшие операции, если видны остатки старого покрытия или уровень водородного показателя рН влажного пола не соответствует установленным пределам.
5.12 Для повышения противоскользящего эффекта и устойчивости к воздействию подошв обуви или колес машин твердые и полутвердые полы следует покрывать защитными консервирующими средствами.
5.13 При оказании услуг по чистке ковров или ковровых покрытий допускается ограниченное действие средства для выведения пятен, если в результате старения пятна въелись в ковровое покрытие или вызвали склеивание волокон.
5.14 Для влажной уборки мягких полов (ковров или ковровых покрытий) не допускается применять:
- пенящиеся шампуни, разрушающие пол под коврами;
- концентрированные моющие растворы, вызывающие появление липких пятен и выцветание ковров;
- большое количество воды, вызывающее усадку, потерю первоначального цвета ковра и появление водяных пятен.
5.15 Для ухода за мягкими полами (коврами или ковровыми покрытиями) следует выбирать способ уборки, обеспечивающий максимальную глубину чистки и высыхание к моменту эксплуатации.
5.16 Регулярный уход за коврами и ковровыми покрытиями, мягкой мебелью и текстильными настенными покрытиями должен предусматривать восстановление слежавшегося ворса, чистку любой степени загрязненности и отсутствие следующих побочных дефектов:
- усадка и потеря формы;
- изменение цветовой гаммы изделия;
- растворение клеевого основания ковровых покрытий.
5.17 Для чистки корпусов оргтехники, компьютеров, радиоэлектронной аппаратуры следует применять специальные антистатические очистители.
5.18 Убранные поверхности зданий, сооружений, территорий должны быть чистыми. Требования к качеству убранных поверхностей приведены в таблице 5.2.
Таблица 5.2 - Требования к качеству убранных поверхностей
|
Наименование операции по уборке и уходу
|
Вид поверхности |
Качество поверхности после уборки и ухода |
Метод контроля |
|
1 Уборка пыли и мусора
|
1.1 Твердые и полутвердые полы, стены и др.
|
Отсутствие скопления пуха, грязи, пыли или мусора под мебелью, в углах, на плинтусах и в других труднодоступных участках, а также остатков волокон протирочного материала
|
Внешний осмотр
|
|
|
1.2 Ковры, ковровые покрытия, мягкая мебель и салоны автомашин
|
Отсутствие скопления пуха, пыли на ворсе ковра или обивочного материала
|
|
|
2 Выведение пятен
|
2.1 Твердые полы, стены, предметы
|
Отсутствие невыведенных пятен
|
|
|
|
2.2 Ковры, ковровые покрытия, мягкая мебель и салоны автомашин |
Окраска ковровых изделий должна быть устойчивой к воздействию пятновыводных средств.
|
Внешний осмотр
|
|
|
|
Не допускаются: следы окраски на белой ткани, смоченной в пятновыводном средстве, после прикладывания к поверхности коврового изделия; невыведенные пятна, за исключением тех, выведение которых предусматривает разрушение окраски или волокна, разводы, ореолы вокруг выведенного пятна, нарушение структуры волокна, обесцвечивание поверхности
|
|
|
3 Влажная уборка, чистка
|
3.1 Твердые и полутвердые полы
|
Отсутствие скопления грязи, пыли, пуха и прочих твердых частиц в труднодоступных местах, пятен и разводов, оставленных шваброй или щеткой (насадкой) машины, чрезмерной сырости, мутности и потери блеска поверхности полов.
|
Внешний осмотр не позднее чем через 30 мин после окончания уборочной операции
|
|
|
|
Помытые поверхности пола не должны быть скользкими после высыхания
|
|
|
|
3.2 Стены
|
Отсутствие липкости поверхности, потеков, высохших капель и брызг чистящего вещества, а также пятен и прочих отметок, за исключением тех видов пятен и загрязнений, выведение которых может вызвать разрушение структуры стены или ее поверхности (нарушение окраски, рельефа и др.)
|
Внешний осмотр
|
|
|
3.3 Окна, зеркала, стеклянные поверхности
|
Отсутствие скопления грязи и пыли на стекле и рамах, потеков, пятен, отпечатков пальцев, разводов грязи, высохших брызг и капель чистящего вещества, ореолов, разводов вокруг очищенных участков, мутности, остатков ворса протирочного материала
|
То же
|
|
|
3.4 Ковры, ковровые покрытия, мягкая мебель и салоны автомашин
|
Сохранность целостности, цвета и линейных размеров ковровых изделий, отсутствие невысохшего ворса в основе, отсутствие пятен, обесцвечивания или потускнения цвета, отсутствие кругов и полос от используемого оборудования.
|
Измерение линейных размеров - по ГОСТ 4103; остаточной влажности - по ГОСТ 16588 и по [23]. Остаточное содержание ПАВ - по [1], [2] |
|
|
|
Не допускается деформации ворса, остатков чистящих веществ на ворсе (ворс липкий или мылкий на ощупь).
|
|
|
|
|
Изменение линейных размеров не должно превышать 3%.
|
|
|
|
|
Показатель остаточной влажности ковровых изделий через 24 ч после окончания уборки не должен превышать 20%, что соответствует эталону для определения поверхностного эффекта 80 условных единиц.
|
|
|
|
|
Остаточное содержание поверхностно-активных веществ (ПАВ) не должно превышать 50% начального количества ПАВ в рабочем растворе моющего средства
|
|
|
|
3.5 Санитарно-техническое оборудование и водостойкие поверхности
|
Отсутствие цементного налета и известковых отложений, водного и мочевого камней, накипи, ярь-медянки, сажи, жира и пятен ржавчины, скопления грязи, остатков мыла и окисления в труднодоступных местах, за кранами, вокруг петель сидений, пятен на металлических предметах, запахов, остатков чистящих веществ за исключением тех, которые не удаляются с поверхности в соответствии с инструкцией производителя
|
Требования к качеству уборки и дезинфекции в помещениях общественного пользования - по [3]-[19]
|
|
|
3.6 Кухонное, торговое и механическое оборудование
|
Отсутствие грязи, жира, остатков пищи, а на внешних поверхностях - отсутствие пятен и отпечатков пальцев
|
Требования к качеству уборки - по [13], [14]
|
|
4 Полирование
|
4.1 Мебель, металлические поверхности
|
Отсутствие липкости и остатков полироли, неравномерности блеска поверхности
|
Прикладываемая к обрабатываемой поверхности белая ткань не должна иметь следов полирующего состава
|
|
5 Химическая очистка
|
5.1 Твердые, полутвердые полы и др.
|
Отсутствие следов немеханических воздействий, чистящих средств, воска, полимерных покрытий, пленок от защитных составов
|
Водородный показатель рН влажной поверхности должен быть от 6 до 8
|
|
6 Нанесение мастик
|
6.1 Полутвердые полы
|
Повышение устойчивости к истиранию и появлению пятен от каблуков обуви за счет образования прочных износостойких и водостойких нескользящих пленок с матовым оттенком или глянцевым блеском, отсутствие скользких поверхностей, ухудшения качества полов.
|
По ГОСТ 24455
|
|
|
|
Покрытие должно быть высокой водостойкости, полируемое
|
|
|
7 Нанесение защитных составов
|
7.1 Ковры, ковровые покрытия, мягкая мебель и салоны автомашин, обои
|
Уменьшение выцветания, повышение грязеустойчивости
|
Внешний осмотр
|
|
|
7.2 Твердые полы
|
Повышение противоскользящего эффекта и устойчивости к действию подошв обуви, облегчение ежедневной уборки
|
|
|
8 Грунтование и лакирование
|
8.1 Полутвердые полы
|
То же, что в 6.1, отлакированная поверхность пола должна иметь равномерный блеск.
|
По ГОСТ 16143 и ГОСТ 24404
|
|
|
|
Разность показателей блеска не должна превышать 5%
|
|
|
9 Шлифование, кристаллизация
|
9.1 Твердые полы
|
Отсутствие скользких поверхностей и ухудшения качества полов, после кристаллизации поверхность пола должна иметь равномерный блеск.
|
Перед началом операции кристаллизации водородный показатель рН вымытого пола должен быть от 6 до 8. Блеск покрытия - по ГОСТ 16143 и ГОСТ 24404 |
|
|
|
Разность показателей блеска не должна превышать 5%
|
|
|
10 Чистка с нанесением антистатика
|
10.1 Оргтехника, компьютеры, радиоэлектронная аппаратура
|
Отсутствие скопления пыли в труднодоступных местах, остатков волокон протирочного материала, пятен и отпечатков пальцев
|
|
|
|
10.2 Ковры, ковровые покрытия, мягкая мебель и салоны автомашин
|
Отсутствие склеивания ворса, изменения цвета, снижения прочности обивочных тканей; уменьшение уровня загрязнения
|
Внешний осмотр
|
|
11 Чистка
|
11.1 Металлические поверхности
|
Отсутствие пыли, пятен, отпечатков пальцев
|
|
5.19 При химической очистке фасада не допускается распыление химических средств на фасадную поверхность.
5.20 Мойку витрин, окон фасадов зданий, сооружений следует производить при температуре не ниже 0 °С. При необходимости допускается проводить работы по уборке снаружи зданий, сооружений, исключая высотные работы, в зимнее время при температуре от 0 до минус 10 °С при использовании незамерзающих моющих средств.
5.21 После оказания услуг по уборке и уходу допускаются:
- дефекты, выявленные до проведения операций по уборке и уходу;
- проявившиеся скрытые дефекты, возникшие в результате нарушения технологии изготовления предметов, строительства и ремонта помещения, а также нарушения правил эксплуатации и использования.
5.22 По окончании уборочных операций и операций по уходу потребителю должны быть выданы рекомендации по дальнейшему содержанию убранных помещений или поверхностей.
6 Требования безопасности
6.1 При оказании услуг по уборке и уходу (внутренние и внешние работы) должны быть обеспечены безопасность жизни, здоровья и сохранность имущества потребителя услуг и санитарно-гигиенические требования [3-19].
6.2 Оказание услуг по уборке и уходу должно быть организовано в период времени, не создающий неудобств для жизни и труда потребителей.
6.3 При проведении уборочных операций и операций по уходу следует соблюдать осторожность в часы, когда здание или сооружение и прилегающая территория интенсивно используется и характер эксплуатации может требовать постоянной уборки.
6.4 Химические средства (моющие, чистящие, дезинфицирующие, защитные, лаки, мастики, кристаллизаторы), используемые при уборке, должны соответствовать требованиям нормативной документации, иметь гигиеническое заключение, а также сертификат соответствия на препараты, подлежащие обязательной сертификации [20].
6.5 Для предотвращения образования вредных веществ или газов при одновременном использовании в период уборки нескольких чистящих средств не разрешается смешивать их между собой.
6.6 Специальное технологическое оборудование и уборочный инвентарь, применяемые при оказании услуг по уборке, должны быть использованы в соответствии с технологией уборки. Технологическое оборудование и инвентарь, подлежащие обязательной сертификации, должны иметь сертификат соответствия [20].
6.7 Использованный уборочный инвентарь (протирочный материал, швабры, щетки и др.), подлежащий дезинфекции в соответствии с технологией, должен быть дезинфицирован после уборки [3-19].
6.8 При эксплуатации электрооборудования должны быть соблюдены меры электробезопасности по ГОСТ 27570.0.
6.9 Электромашины, используемые при оказании услуг, должны быть оснащены средствами звуковой и световой сигнализации по ГОСТ 29149.
6.10 Для исключения травматизма убираемые площади следует ограждать специальными предупреждающими знаками по ГОСТ 12.4.059.
6.11 Пол с подогревом необходимо отключать перед началом уборки. При уходе за электропроводящими напольными покрытиями используемые моющие составы не должны приводить к снижению электропроводности.
6.12 Электророзетки, выключатели и осветительную арматуру следует обезопасить до начала уборки. Не допускается попадание влаги внутрь.
6.13 При уборке помещений специального назначения для исполнителя услуг требуется наличие медицинских книжек.
6.14 В целях сохранности имущества потребителя услуг исполнители услуг по уборке должны быть ознакомлены с правилами пожарной безопасности по ГОСТ 12.1.004 и существующими процедурами при возникновении пожаров в тех зданиях, где проводятся операции по уборке и уходу [21].
7 Требования охраны окружающей среды
7.1 Экологическую безопасность услуги обеспечивает соблюдение установленных требований охраны окружающей среды, требований к чистоте и содержанию зданий, помещений и прилегающих территорий и наличие у исполнителя достаточной информации о технических характеристиках мест, подлежащих уборке, которую предоставляет потребитель услуг, чтобы исключить вредное взаимодействие с некоторыми химическими средствами и возможность ущерба.
7.2 Технологическое оборудование и уборочный инвентарь следует хранить чистыми и исправными в отведенных для этих целей помещениях, за исключением машин для мокрой и сухой уборки больших площадей аккумуляторного типа (кислотных), которые должны храниться в сухих проветриваемых помещениях в соответствии с ГОСТ 23216.
7.3 Химические средства должны храниться только в оригинальной упаковке фирм-производителей в специально отведенных местах в соответствии с ГОСТ 12.1.004.
7.4 Отходы, образующиеся при проведении операций по уборке и уходу, подлежат размещению в соответствии с требованиями [22].
8 Правила приемки
8.1 Убранные поверхности, предметы, помещения, здания, сооружения, территории подлежат проверке на соответствие требованиям 5.7-5.22 в объеме выполненных работ, указанных в спецификации заказа на базе потребителя услуг. Убранные поверхности, предметы, помещения, здания, сооружения, территории, не соответствующие требованиям настоящего стандарта, подлежат повторной уборке для устранения несоответствия.
8.2 Требования, предусмотренные в таблице 5.2, пункты 3.4, 6, 8, 9, проверяют при проведении испытаний аккредитованными испытательными лабораториями не реже одного раза в год.
9 Методы контроля
9.1 Качество уборки на соответствие требованиям таблицы 5.2, пункты 1, 2, 3.1, 3.2, 3.3, 4, 5, 7, 10, 11 и 6.2, 6.3, 6.5, 6.7-6.12, проверяют внешним осмотром на базе потребителя услуг.
9.2 Контроль равномерности блеска прозрачных защитных пленок (таблица 5.2, пункты 8, 9) - по ГОСТ 16143 и ГОСТ 24404.
9.3 Качество влажной уборки (таблица 5.2, пункты 3.1, 3.2, 3.3, 3.4) проверяют внешним осмотром убранных поверхностей и оценивают как "чистое", "среднее", "неприемлемое". "Чистое" означает, что убранная поверхность совершенно чистая от загрязнений. В этом случае каждый квадратный метр получает 2 балла. "Среднее" означает, что общая площадь загрязнения, оставшегося после влажной уборки, составляет не более 4 м на 100 м убранной поверхности. В этом случае каждый квадратный метр грязной поверхности получает 1 балл. "Неприемлемое" означает, что общая загрязненная поверхность после уборки более 4 м на 100 м , при этом каждый квадратный метр грязной поверхности получает 0 баллов.
Качество влажной уборки определяют делением количества баллов, полученных в результате оценки, на возможное количество баллов, если бы каждые убранные 100 м поверхности получили по 2 балла.
Коэффициент чистоты должен быть не менее 0,85.
9.4 Определение водостойкости (таблица 5.2, пункт 6) защитных покрытий - по ГОСТ 24455.
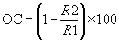
9.5 Показатель остаточного содержания ПАВ (таблица 5.1, п.3.4) , %, в ковровом изделии после влажной уборки вычисляют по формуле
,
где - содержание ПАВ в смыве после чистки, мг/л;
- содержание ПАВ в чистом рабочем растворе моющего средства, мг/л.
Содержание ПАВ ( и ) определяют по [1] и [2].
9.6 Остаточную влажность (таблица 5.2, пункт 3.4) ковровых изделий оценивают двумя способами: с помощью электровлагомера (ГОСТ 16588) и методом дождевания для определения поверхностного эффекта. Поверхностный эффект (влажность) в процентах определяют сравнением внешнего вида образца (цветной бумажной салфетки) со шкалой эталонов [24].
9.7 Изменение линейных размеров (таблица 5.2, пункт 3.4) ковровых изделий после уборки определяют непосредственно на изделиях с использованием специального шаблона для нанесения разметки и измерительного устройства по ГОСТ 4103 измерением основных линейных размеров до уборки и после нее.
ПРИЛОЖЕНИЕ А
(справочное)
Библиография
|
[1]
|
ИСО 7875-1-84 Качество воды. Определение содержания поверхностно-активных веществ. Ч.1. Определение содержания анионных поверхностно-активных веществ спектрометрическим методом с применением метиленовой сини
|
|
[2]
|
ИСО 7875-2-84 Качество воды. Определение содержания поверхностно-активных веществ. Ч.2. Определение содержания неионных поверхностно-активных веществ с использованием реактива Драгендорфа
|
|
[3]
|
СанПиН N 981-72 Санитарные правила устройства, оборудования и содержания парикмахерских
|
|
[4]
|
СанПиН N 982-72 Санитарные правила устройства, оборудования и содержания бань
|
|
[5]
|
СанПиН 983-72 Санитарные правила устройства, оборудования и содержания общественных уборных
|
|
[6]
|
СанПиН 1163-74 Санитарные правила содержания и устройства косметических кабинетов
|
|
[7]
|
СанПиН 1186-а-74 Санитарные правила по устройству и содержанию общеобразовательных школ
|
|
[8]
|
СанПиН 2149-80 Санитарные правила по устройству и содержанию учебных заведений системы профтехобразования
|
|
[9]
|
СанПиН 3231-85 Санитарные правила устройства и содержания детских дошкольных учреждений
|
|
[10]
|
СанПиН 4719-88 Санитарные правила устройства, оборудования и содержания общежитий
|
|
[11]
|
СанПиН 5179-90 Санитарные правила устройства, оборудования и эксплуатации больниц, родильных домов и других лечебных стационаров
|
|
[12]
|
СанПиН 2.1.2.568-96 Гигиенические требования к устройству, эксплуатации и качеству воды в плавательных бассейнах
|
|
[13]
|
СанПиН 2.3.5.021-94 Санитарные правила для предприятий производственной торговли
|
|
[14]
|
СанПиН 42-123-5777-91 Санитарно-гигиенические нормы и санитарные правила для предприятий общественного питания, включая кондитерские цеха и предприятия по выработке мягкого мороженого
|
|
[15]
|
СанПиН 42-125 Устройство, содержание и организация режима детских оздоровительных лагерей
|
|
[16]
|
СанПиН 42-125-4216-86 Санитарно-гигиенические правила и нормы по организации обучения детей шестилетнего возраста
|
|
[17]
|
СанПиН 42-125-4270-87 Устройство, содержание и организация работы лагерей труда и отдыха
|
|
[18]
|
СанПиН 42-125-4437-87 Устройство и организация режима детских санаториев
|
|
[19]
|
СанПиН 42-121-4719-88 Санитарные правила устройства общежитии учащихся ПТУ
|
|
[20]
|
Перечень товаров, подлежащих обязательной сертификации (утвержден постановлением Правительства Российской Федерации от 13 августа 1997 г., N 1013)
|
|
[21]
|
Закон Российской Федерации "О пожарной безопасности" от 21 декабря 1994 г. N 69-ФЗ (с изменениями и дополнениями, внесенными Федеральными Законами от 22 августа 1995 г. N 151-ФЗ, от 18 апреля 1996 г. N 32-ФЗ, от 24 января 1998 г. N 13-ФЗ)
|
|
[22]
|
Временные правила охраны окружающей среды от отходов производства и потребления в Российской Федерации (утверждены зам. министра охраны окружающей среды и природных ресурсов Российской Федерации 15 июля 1994 г.)
|
|
[23]
|
Оптимальная технология химической чистки изделий. Ч.2. Утверждена Министерством бытового обслуживания населения РСФСР 23.12.1988 г. |
